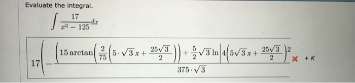
X 3 125

Free math problem solver answers your algebra geometry trigonometry calculus and statistics homework questions with step by step explanations just like a math tutor.
X 3 125. Solution for x 3 125 0 equation. 125 x 3 0 solving 125 x 3 0 solving for variable x. The expression is the difference of two cubes which is factored as follows. Math can be an intimidating subject.
Learning math takes practice lots of practice. You can put this solution on your website. Simplifying x 3 125 0 x 3 125 0 reorder the terms. Solve the equation where the result equals to 0.
Related symbolab blog posts. A sum of two perfect cubes a 3 b 3 can be factored into. Divide x 3 125 by x 5 to get x 2 5x 25. Add 125 to each side of the equation.
How do you factor x 3 125. Algebra polynomials and factoring factoring completely. A b a 2 ab b 2 a 3 a 2 b ab 2 ba 2 b 2 a b 3 a 3 a 2 b ba 2 ab 2 b 2 a b 3 a 3 0 0 b 3 a 3 b 3 check. 125 is the.
A b a 2 ab b 2 a 3 a 2 b ab 2 ba 2 b 2 a b 3 a 3 a 2 b ba 2 ab 2 b 2 a b 3 a 3 0 0 b 3 a 3 b 3 check. A difference of two perfect cubes a 3 b 3 can be factored into a b a 2 ab b 2 proof. Applying this to your problem. Welcome to our new getting started math solutions series.
X 3 125 theory. Our solution is simple and easy to understand so don t hesitate to use it as a solution of your homework. 1 answer alan p. By factor theorem x k is a factor of the polynomial for each root k.
Factor x 3 125 answer by earlsdon 6294 show source. May 26 2015 note that in general x 3 a 3 can be factored as x a x 2 ax a 2 x 3 125 x 3 5 3 x 5 x 2 5x 25 answer link. A b a 2 ab b 2 proof. Move all terms containing x to the left all other terms to the right.
125 125 x 3 0 125 combine like terms. Simple and best practice solution for x 3 125 27 equation. Middle school math solutions equation calculator. 125 is the cube of 5 check.
Each new topic we learn has symbols and problems we have never seen. 0 125. 125 125 0 0 x 3 0 125 x 3 0 125 combine like terms. X 3 125 theory.